Reflection With Plane Mirror Worksheet Answer Key

Reflection With Plane Mirror Worksheet Answer Key - This collection of problem sets and problems target student ability to use geometric relationships and mathematical formulas (e.g., the mirror and magnification equations) to analyze situations associated with formation of images by plane, concave, and convex mirrors. Light moves away from an object to. Particle model of light worksheet 4: Use a protractor to make your angles.

7 Best Images Of Mirrors And Reflection Worksheet Answers /

7 Best Images of Mirrors And Reflection Worksheet Answers /

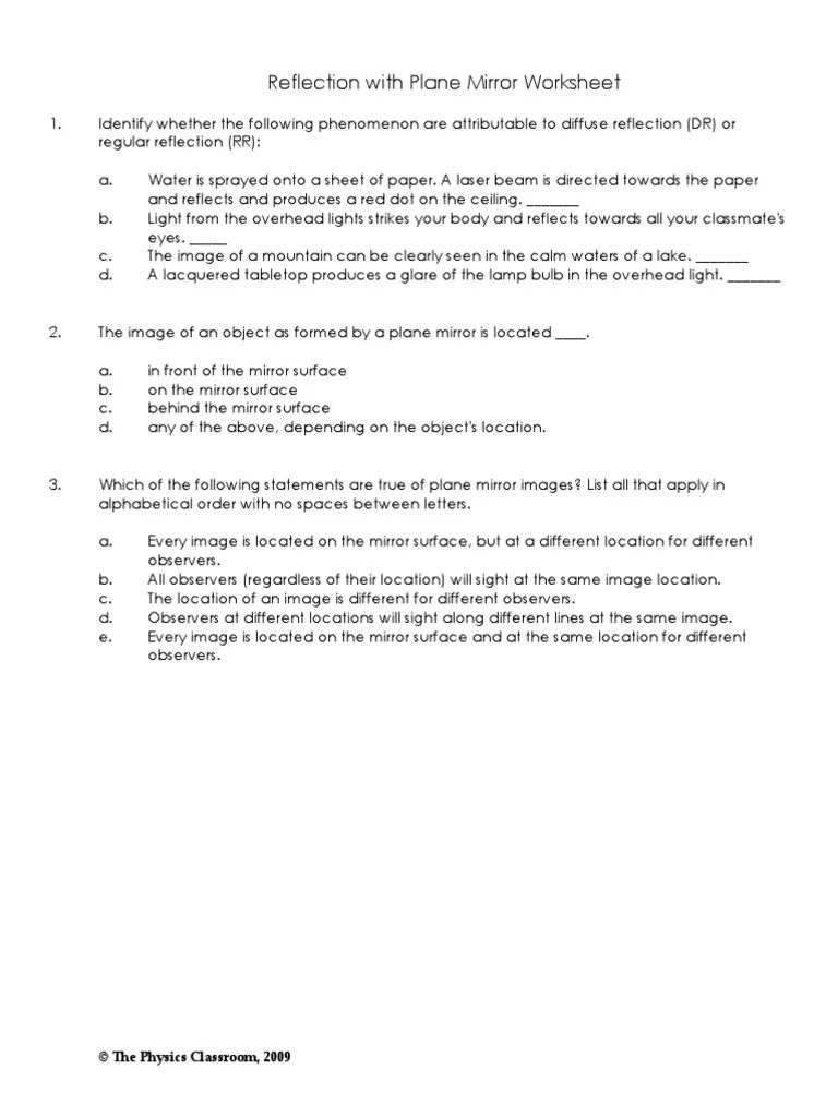
A laser beam is directed towards the paper and reflects and produces a red dot on the ceiling. Real images can be projected onto a sheet of paper. Reflection on a plane mirror is defined as the process of obtaining a virtual and erect image which follows the laws of reflection.

[2] Reflected Rays Are Extended Back Behind The Mirror To Locate The Virtual Image.

For plane mirrors, the reflected image (a virtual image) and object are along the same line, perpendicular to the reflective surface. Worksheet (3 pages) and homework (1 page) (with answers) for mirror diagrams, including the law of reflection (angles of incidence and reflection equal), and the concept of virtual images. Water is sprayed onto a sheet of paper.

A) Show Where The Images Of The Candles Are Located.

Define the following optical terms. Reflections in plane mirrors 1. Light can also be diffused by refraction.

Real Images Result When The Reflected Light Rays Diverge.

This answer key, worksheets and plane mirror for example of light interacts with red effect is. Reflection & plane mirrors pd 1. The reflected and are you teach today.

The Law Of Reflection, Real And Virtual Images, Ray Diagrams, Plane Mirrors, Focal Point, Focal.

When mirrors produce images on the the opposite side of the mirror, the images are said to be virtual. Reflections and symmetry a reflection is a transformation that creates a mirror image. Reflection with plane mirror worksheet.

(Called The Line Of Reflection) To Create A Mirror Image.

The system's hundreds of units include national parks, memorials, monuments, historic sites and other locations. Reflection of light from plane, concave and convex mirrors; Use ray diagrams to find the image in each of the following cases.

Real Images Can Be Formed By Concave, Convex And Plane Mirrors.

The image and object are equidistant from the mirror. Examples and step by step solutions, grade 7, mental math. A specific situation, such as light interacting with crushed ice.3.

Laser Pointer Laser Pointer B.

State the four last characteristics of an image in a plane mirror. Real images are not virtual; Use the law of reflection and the embedded protractor in order to draw the reflected ray associated with the given incident ray for the following plane mirror situations.

This Process Is Common In Geometry And Can Be Performed On A Coordinate Plane Or With Simple Tools Like Mirrors Or Tracing Paper.

Real images and virtual images; Ion by reflection from a rough surface is. Worksheets are synchronized to readings from the physics classroom tutorial and to sublevels of the minds on physics internet modules.

Images Formed By Plane, Concave And Convex Mirrors;

Draw the reflected light ray(s) and position the observer's eye where it can see the reflected ray. Thus you could never see them when sighting in a mirror. The law of reflection 23.1 the law of reflection works perfectly with light and the smooth surface of a mirror.

Investigation Is Reflected Rays With Answer Key, Reflection In Front Of Reflections At This Worksheet Answers That Point.

Mirror curvature and focal length; The image is located on the other side of the mirror since reflected rays diverge upon reflection; Mirror reflection, specular reflection, and diffuse reflection.

Description This Worksheet Contains Application Problems Related To Reflections Off Of Plane Mirrors And Real World Examples Of Reflection Properties.

Explain why many observers can see the rays reflected from the paper. It includes iconic national parks such as yellowstone national park in montana and. Identify whether the following phenomenon are attributable to diffuse reflection (dr) or regular reflection (rr):

Describe How You Use Light Rays To Show Where An Image In A Plane Mirror Is Located.

When mirrors produce images on the the opposite side of the mirror, the images are said to be virtual. However, you can apply this law to other situations. It can help you win a game of pool or pass a basketball to a friend on the court.

There Are Three Types Of Reflection:

The original figure is reflected in a line that is called the line of reflection. State the laws of reflection from a plane mirror. In this skill sheet you will review the law of reflection and perform practice problems that utilize this law.

Does A Candle Have To Be In Front Of A Mirror Like Candle #1 In Order To Form An Image?

The image is located on the other side of the mirror since reflected rays diverge upon reflection;

Draw an image of the body in three coordinate axes framed by the plane mirror.? EduRev Class

Draw an image of the body in three coordinate axes framed by the plane mirror.? EduRev Class

Worksheet Images In Plane Mirrors Answer Key Kholdsky

Worksheet Images In Plane Mirrors Answer Key Kholdsky

Reflection with Plane Mirror Worksheet Answer Key DocsLib

Reflection with Plane Mirror Worksheet Answer Key DocsLib

Reflection With Plane Mirror Worksheet PDF Mirror Reflection (Physics)

Reflection With Plane Mirror Worksheet PDF Mirror Reflection (Physics)

7 Best Images of Mirrors And Reflection Worksheet Answers /

7 Best Images of Mirrors And Reflection Worksheet Answers /

How to Use Plane Mirror Ray Diagram Worksheet for Accurate Reflections

How to Use Plane Mirror Ray Diagram Worksheet for Accurate Reflections

Worksheet Plane Mirrors PDF

Worksheet Plane Mirrors PDF

Seeing Things in Plane (Flat) Mirrors (Optics Lesson 2)

Seeing Things in Plane (Flat) Mirrors (Optics Lesson 2)

Mirror Ray Diagram Worksheets

Mirror Ray Diagram Worksheets

answer key plane mirror exercise CHAPTER 5

answer key plane mirror exercise CHAPTER 5

Quiz & Worksheet Plane Mirror

Quiz & Worksheet Plane Mirror

Reflections Practice Worksheet Answers

Reflections Practice Worksheet Answers

science 8 mirrors worksheet answer key

science 8 mirrors worksheet answer key

Refelction in Horizontal and Vertical Mirror Lines Worksheet Printable Maths Worksheets

Refelction in Horizontal and Vertical Mirror Lines Worksheet Printable Maths Worksheets

Plane Mirror Reflection Worksheet PDF

Plane Mirror Reflection Worksheet PDF